产品介绍
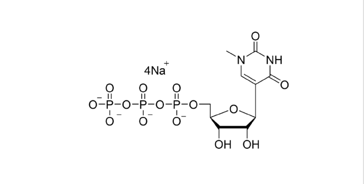
N¹-Methyl-Pseudo-UTP是一种修饰核苷酸,可以通过体外转录方式加入mRNA当中可以降低mRNA的自身免疫原性,同时可以通过增加核糖体结合丰度的方式进一步提高mRNA的表达效率。实验证明N¹-Methyl-Pseudo-UTP与Pseudo-UTP相比可以进一步的提高mRNA在细胞及小鼠体内的表达效率并降低mRNA自身免疫原性。本产品为无色透明液体,主要应用于寡核苷酸适配体、表观遗传学或DNA损伤研究、体外转录(IVT)、突变诱导、光交联研究等方向。
产品组成
| 
			 组分  | 
			
			 规格  | 
		
| 
			 N¹-Methyl-Pseudo-UTP (100 mM)  | 
			
			 100 μl  | 
		
产品详情
运输:蓝冰/干冰运输
纯度:≥98% (HPLC)
盐型:Na⁺ 
缓冲液:20 mM Tris-HCl
浓度:100 mM±5%
pH:8.0±0.5
可溶性:水
CAS号:1428903-59-6 (free acid)
分子式:C₁₀H₁₇N₂O₁₅P₃ (free acid);C₁₀H₁₃N₂Na₄O₁₅P₃ (Sodium salt)
分子量:498.17 g/mol (free acid);586.09 g/mol (Sodium salt)
注:产品原材料及生产过程未引入动物源成分;本产品仅作科研用途。
储运条件
-20℃


